2021-08-31

Sep 1 In-Class Exercise .

Please post your solutions to the Sep 1 In-Class Exercise to this thread.
Best,
Chris
Please post your solutions to the Sep 1 In-Class Exercise to this thread. Best, Chris
2021-09-01

-- Sep 1 In-Class Exercise
  • `[[3,2,1],[4,5,6], [7,8,9]]`
  • Update Row 2 as Row1+Row3 and Row 3 as Row + Row3, we get the following
  • `[[3,2,1],[7,7,7], [10,10,10]]`
  • The above matrix can be further updated with the operation R2-> R2*10 and R3->R3*7
  • `[[3,2,1],[70,70,70], [70,70,70]]`
  • Performing the operation R3-> R3-R2 (updating row3 by subtracting row2 from row3) gives us one row of the matrix as zero
  • `[[3,2,1],[70,70,70], [0,0,0]]`
  • Now since an entire row of the matrix is zero we will get the determinant as zero.
  • NOTE: We could also convert the matrix in step 5 to an upper triangular matrix, this would also give us the determinant zero.
(Edited: 2021-09-01)
* @BT@[[3,2,1],[4,5,6], [7,8,9]]@BT@ * Update Row 2 as Row1+Row3 and Row 3 as Row + Row3, we get the following * @BT@[[3,2,1],[7,7,7], [10,10,10]]@BT@ * The above matrix can be further updated with the operation R2-> R2*10 and R3->R3*7 * @BT@[[3,2,1],[70,70,70], [70,70,70]]@BT@ * Performing the operation R3-> R3-R2 (updating row3 by subtracting row2 from row3) gives us one row of the matrix as zero * @BT@[[3,2,1],[70,70,70], [0,0,0]]@BT@ * Now since an entire row of the matrix is zero we will get the determinant as zero. * NOTE: We could also convert the matrix in step 5 to an upper triangular matrix, this would also give us the determinant zero.

-- Sep 1 In-Class Exercise
Resource Description for aI.jpeg
((resource:aI.jpeg|Resource Description for aI.jpeg))

-- Sep 1 In-Class Exercise
Resource Description for determinant zero.jpg
((resource:determinant zero.jpg|Resource Description for determinant zero.jpg))

-- Sep 1 In-Class Exercise
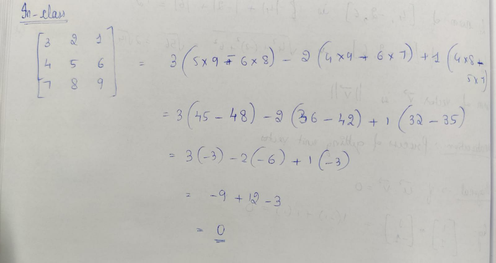
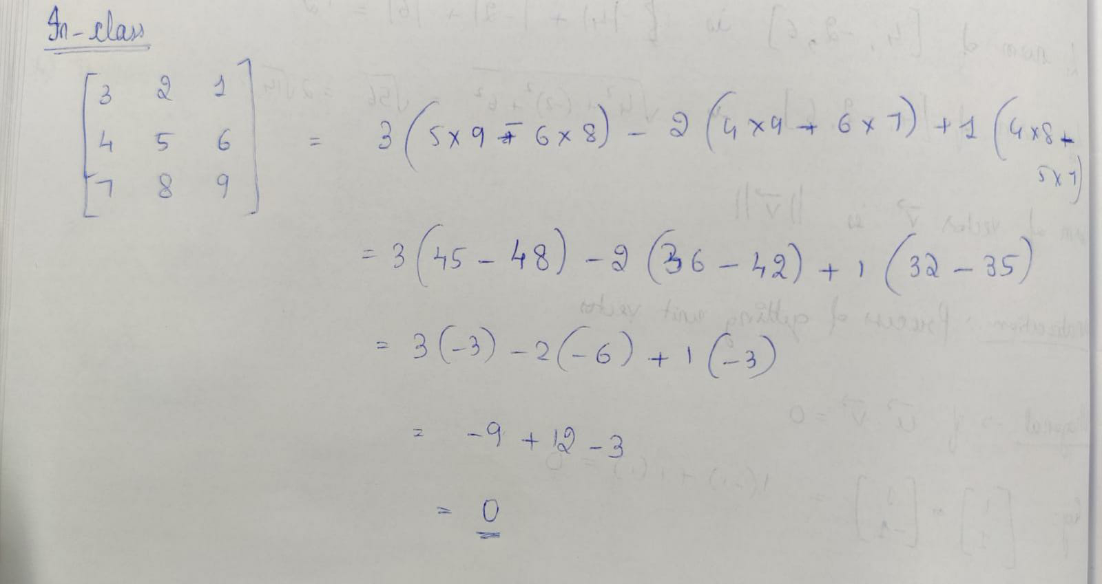
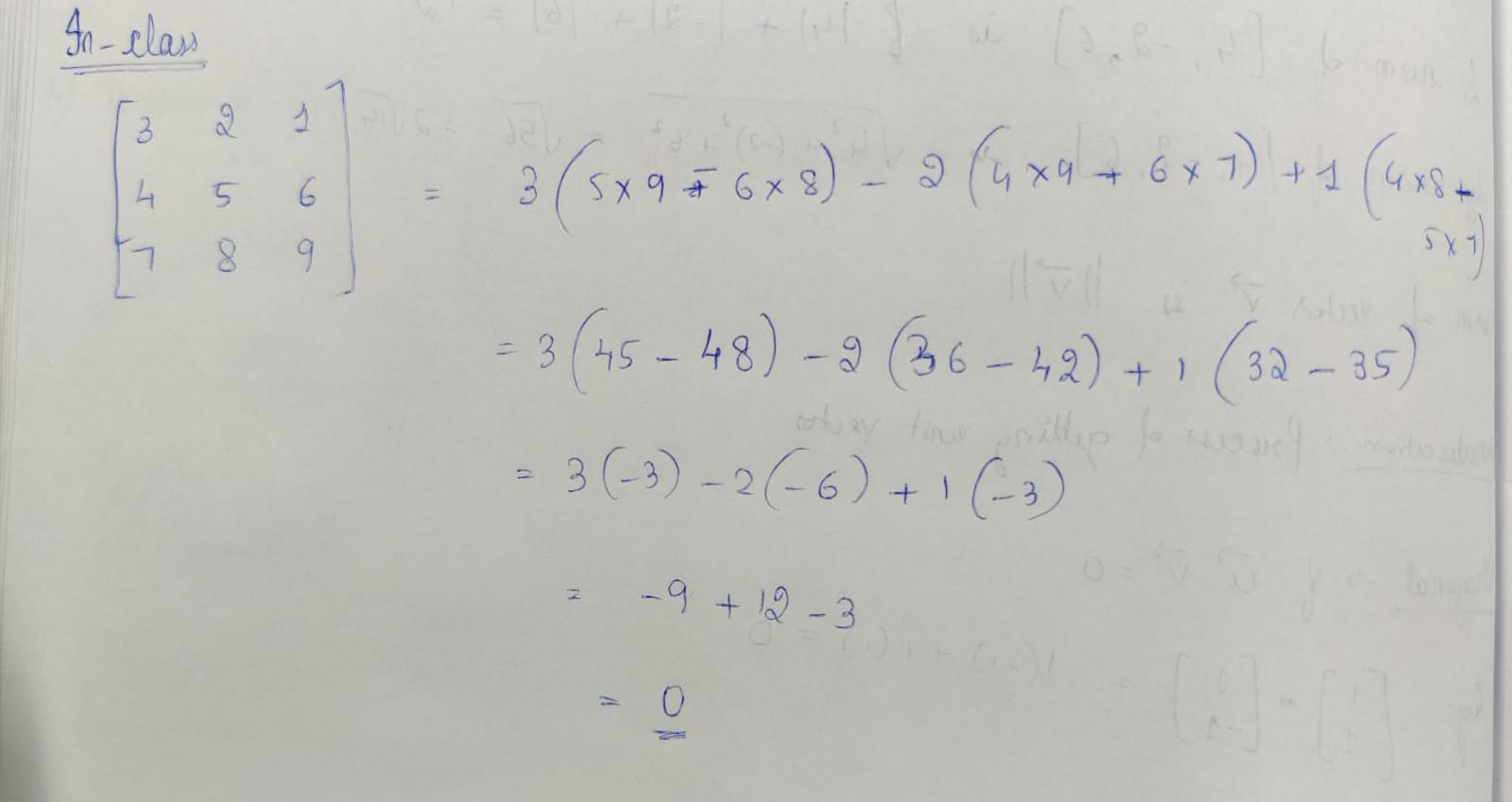
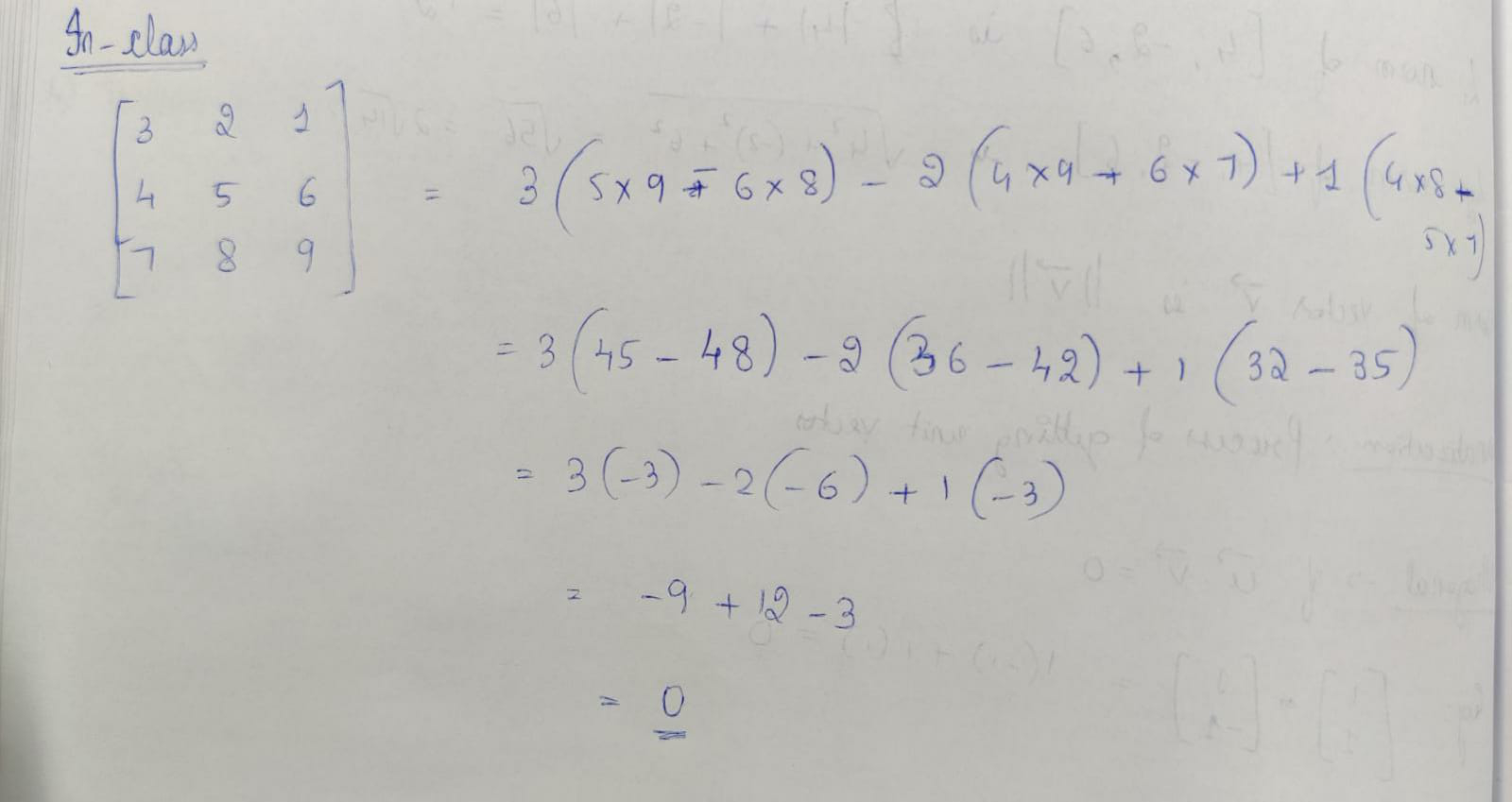
The determinant of the matrix `[[3, 2, 1],[4, 5, 6],[7, 8, 9]]` would be
((-1)^(1+1))*3(5*9 – 6*8) + ((-1)^(1+2))*2(4*9-7*6) + ((-1)^(1+3))*1(4*8-7*5)
(1)*3*(45-48) + (-1)*2*(36-42) + (1)*1*(32-35)
3*(-3) + (-1)*2*(-6) + (-3)
-9+12-3
=0
(Edited: 2021-09-01)
The determinant of the matrix @BT@[[3, 2, 1],[4, 5, 6],[7, 8, 9]]@BT@ would be ((-1)^(1+1))*3(5*9 – 6*8) + ((-1)^(1+2))*2(4*9-7*6) + ((-1)^(1+3))*1(4*8-7*5) (1)*3*(45-48) + (-1)*2*(36-42) + (1)*1*(32-35) 3*(-3) + (-1)*2*(-6) + (-3) -9+12-3 =0

-- Sep 1 In-Class Exercise
  • `[[3,2,1],[4,5,6], [7,8,9]]`
  • `[3*(5*9-8*6)-2*(4*9-6*7)+1*(4*8-5*7)]`
  • [3*(45βˆ’48)βˆ’2*(36βˆ’42)+1*(32βˆ’35)]
  • `[(-9+12-3)=0`
  • This gives us the determinant zero 0.
(Edited: 2021-09-01)
* @BT@[[3,2,1],[4,5,6], [7,8,9]]@BT@ * @BT@[3*(5*9-8*6)-2*(4*9-6*7)+1*(4*8-5*7)]@BT@ * [3*(45βˆ’48)βˆ’2*(36βˆ’42)+1*(32βˆ’35)] * @BT@[(-9+12-3)=0@BT@ * This gives us the determinant zero 0.

-- Sep 1 In-Class Exercise
Resource Description for IMG-5838.jpg
The resultant Determinant of the matrix is Zero.
((resource:IMG-5838.jpg|Resource Description for IMG-5838.jpg)) The resultant Determinant of the matrix is Zero.

-- Sep 1 In-Class Exercise
`[[3,2,1],[4,5,6],[7,8,9]]`
3(45-48)–2(36-42)+1(32-35)
3(-3)-2(-6)+1(-3)
-9+12-3
0
(Edited: 2021-09-01)
@BT@[[3,2,1],[4,5,6],[7,8,9]]@BT@ 3(45-48)–2(36-42)+1(32-35) 3(-3)-2(-6)+1(-3) -9+12-3 0

-- Sep 1 In-Class Exercise
Resource Description for 20210901_171314.jpg
((resource:20210901_171314.jpg|Resource Description for 20210901_171314.jpg))

-- Sep 1 In-Class Exercise
Resource Description for IMG_2804.jpg
((resource:IMG_2804.jpg|Resource Description for IMG_2804.jpg))
[ Next ]
X