[
Skip Navigation]
≡
-
🏠
CS 256 Fall 2021
:
Talk
:
Oct 20 In-Class Exercise Thread
≡
Welcome
Signin
Create Account
CS 256 Fall 2021 Group
Oct 20 In-Class Exercise Thread Thread
Group Feed
Group Wiki
Group Places
Discussions
My Groups
2021-10-20
cpollett
✓
cpollett
Public Posts
Oct 20 In-Class Exercise Thread
.
Please post your solutions to the Oct 20 In-Class Exercise to this thread.
Best,
Chris
Please post your solutions to the Oct 20 In-Class Exercise to this thread. Best, Chris
mehtapa
✓
mehtapa
Public Posts
-- Oct 20 In-Class Exercise Thread
((resource:inclass.jpg|Resource Description for inclass.jpg))
nadellave
✓
nadellave
Public Posts
-- Oct 20 In-Class Exercise Thread
((resource:IMG_3530.jpg|Resource Description for IMG_3530.jpg))
puranikpr
✓
puranikpr
Public Posts
-- Oct 20 In-Class Exercise Thread
((resource:AI.jpeg|Resource Description for AI.jpeg))
singhaniaad
✓
singhaniaad
Public Posts
-- Oct 20 In-Class Exercise Thread
((resource:IMG_20211020_164519__01.jpg|Resource Description for IMG_20211020_164519__01.jpg))
mananjayama
✓
mananjayama
Public Posts
-- Oct 20 In-Class Exercise Thread
((resource:in class 8.jpg|Resource Description for in class 8.jpg))
chauhandi
✓
chauhandi
Public Posts
-- Oct 20 In-Class Exercise Thread
((resource:WhatsApp Image 2021-10-20 at 4.47.01 PM.jpeg|Resource Description for WhatsApp Image 2021-10-20 at 4.47.01 PM.jpeg))
kadamsh
✓
kadamsh
Public Posts
-- Oct 20 In-Class Exercise Thread
Resource Description for 20211020_164655.jpg
((resource:20211020_164655.jpg|Resource Description for 20211020_164655.jpg))
pradeepnarayana
✓
pradeepnarayana
Public Posts
-- Oct 20 In-Class Exercise Thread
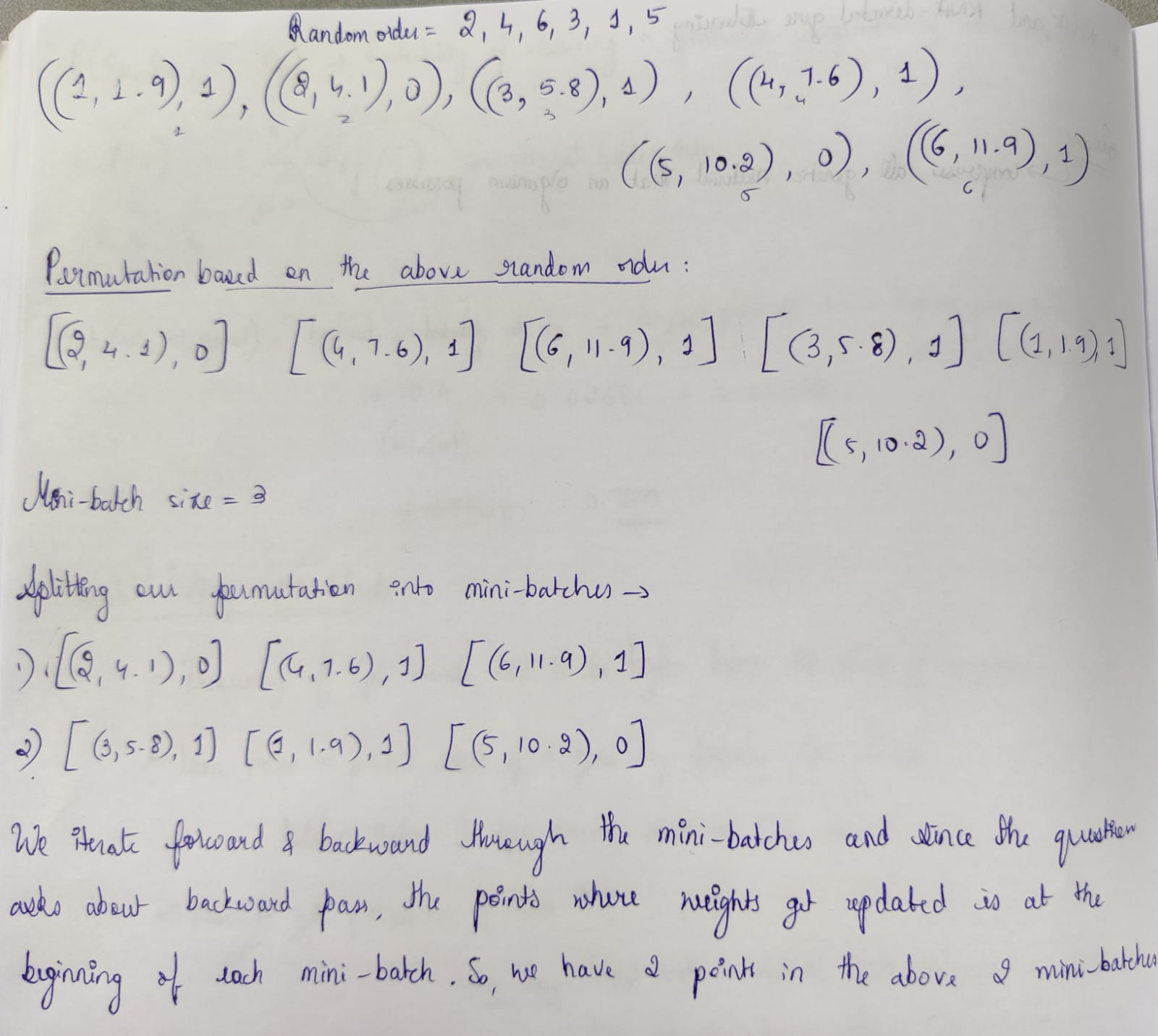
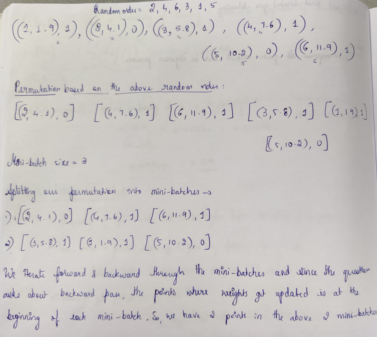
((resource:5. mini batches.jpg|Resource Description for 5. mini batches.jpg))
satvelita
✓
satvelita
Public Posts
-- Oct 20 In-Class Exercise Thread
((resource:WhatsApp Image 2021-10-20 at 4.53.20 PM.jpeg|Resource Description for WhatsApp Image 2021-10-20 at 4.53.20 PM.jpeg))
[
Next
]
X
(c) 2026 Yioop -
PHP Search Engine
We use cookies to implement this site's user functionality, social media features, and traffic analytics.
Privacy Policy Details
.
Allow Cookies