2018-10-31

Oct 31 In-Class Exercise Thread .

Hi Everyone,
Post your solutions to the Oct 31 In-Class Exercise to this thread.
Best,
Chris
Hi Everyone, Post your solutions to the Oct 31 In-Class Exercise to this thread. Best, Chris

-- Oct 31 In-Class Exercise Thread
//Yaoyan Xi
a)Delta_List:
89 12 11 10 8 15
b) r-code
89 = 0000001 011001 12 = 0001 100 11 = 0001 011 10 = 0001 010 8 = 0001 000 15 = 0001 111
c) Golomb code N = 200, Nt = 6 M_opt =ceiling of -log(394/200)/log(194/200) = ceiling of 22.26 = 23
(Edited: 2018-11-02)
//Yaoyan Xi a)Delta_List: 89 12 11 10 8 15 b) r-code 89 = 0000001 011001 12 = 0001 100 11 = 0001 011 10 = 0001 010 8 = 0001 000 15 = 0001 111 c) Golomb code N = 200, Nt = 6 M_opt =ceiling of -log(394/200)/log(194/200) = ceiling of 22.26 = 23

-- Oct 31 In-Class Exercise Thread
posting list -> [89, 101, 112, 122, 130, 145] (a) Ī”-list -> [89, 12, 11, 10, 8, 15] (b) γ-code -> [0000001 011001, 0001 100, 0001 011, 0001 010, 0001 000, 0001 111] (c) N = 200 , Nt = 6 Nt/N = 6/200 = 0.03 M = ceil -log2 (2-0.03)/log2(1-0.03) = ceil 22.26 = 23 q(89)= 3, r(89)=19 -> 0001 10011 q(12)= 0, r(12)=12 -> 1 1100 q(11)= 0, r(11)=11 -> 1 1011 q(10)= 0, r(10)=10 -> 1 1010 q(8)= 0, r(8)=8 -> 1 1000 q(15)= 0, r(15)=15 -> 1 1111
(Edited: 2018-11-05)
<nowiki> posting list -> [89, 101, 112, 122, 130, 145] (a) Δ-list -> [89, 12, 11, 10, 8, 15] (b) γ-code -> [0000001 011001, 0001 100, 0001 011, 0001 010, 0001 000, 0001 111] (c) N = 200 , Nt = 6 Nt/N = 6/200 = 0.03 M = ceil -log2 (2-0.03)/log2(1-0.03) = ceil 22.26 = 23 q(89)= 3, r(89)=19 -> 0001 10011 q(12)= 0, r(12)=12 -> 1 1100 q(11)= 0, r(11)=11 -> 1 1011 q(10)= 0, r(10)=10 -> 1 1010 q(8)= 0, r(8)=8 -> 1 1000 q(15)= 0, r(15)=15 -> 1 1111 </nowiki>

-- Oct 31 In-Class Exercise Thread
a) [89, 12, 11, 10, 8, 15]
b) 89 -> 101 1001 -> 000001 011001
     12 -> 1100 -> 001 100
     11 -> 1011 -> 001 011
     10 -> 1010 -> 001 010
     8 -> 1000 -> 001 000
     15 -> 1111 -> 001 111
c) M = log(2 - 6/200) / -log(1 - 6/200) = 22.26 -> 23
    q(89) + 1 = (89 - 1) / 23 + 1 -> 3 + 1 -> 0001
    r(89) = (89 - 1) % 23 -> 19 -> 1 0011
    q(12) + 1 = (12 - 1) / 23 + 1 -> 0 + 1 -> 1
    r(12) = (12 - 1) % 23 = 11 -> 1011
    q(11) + 1 = (11 - 1) / 23 + 1 -> 0 + 1 -> 1
    r(11) = (11 - 1) % 23 = 10 -> 1010
    q(10) + 1 = (10 - 1) / 23 + 1 -> 0 + 1 -> 1
    r(10) = (10 - 1) % 23 = 9 -> 1001
    q(8) + 1 = (8 - 1) / 23 + 1 -> 0 + 1 -> 1
    r(8) = (8 - 1) % 23 = 7 -> 0111
    q(15) + 1 = (15 - 1) / 23 + 1 -> 0 + 1 -> 1
    r(15) = (15 - 1) % 23 = 14 -> 1110
(Edited: 2018-11-04)
<pre> a) [89, 12, 11, 10, 8, 15] b) 89 -> 101 1001 -> 000001 011001 12 -> 1100 -> 001 100 11 -> 1011 -> 001 011 10 -> 1010 -> 001 010 8 -> 1000 -> 001 000 15 -> 1111 -> 001 111 c) M = log(2 - 6/200) / -log(1 - 6/200) = 22.26 -> 23 q(89) + 1 = (89 - 1) / 23 + 1 -> 3 + 1 -> 0001 r(89) = (89 - 1) % 23 -> 19 -> 1 0011 q(12) + 1 = (12 - 1) / 23 + 1 -> 0 + 1 -> 1 r(12) = (12 - 1) % 23 = 11 -> 1011 q(11) + 1 = (11 - 1) / 23 + 1 -> 0 + 1 -> 1 r(11) = (11 - 1) % 23 = 10 -> 1010 q(10) + 1 = (10 - 1) / 23 + 1 -> 0 + 1 -> 1 r(10) = (10 - 1) % 23 = 9 -> 1001 q(8) + 1 = (8 - 1) / 23 + 1 -> 0 + 1 -> 1 r(8) = (8 - 1) % 23 = 7 -> 0111 q(15) + 1 = (15 - 1) / 23 + 1 -> 0 + 1 -> 1 r(15) = (15 - 1) % 23 = 14 -> 1110 </pre>

-- Oct 31 In-Class Exercise Thread
Resource Description for 1a.png Resource Description for 1b.png
((resource:1a.png|Resource Description for 1a.png)) ((resource:1b.png|Resource Description for 1b.png))
2018-11-01

-- Oct 31 In-Class Exercise Thread
Resource Description for IMG_4459.jpg
((resource:IMG_4459.jpg|Resource Description for IMG_4459.jpg))

-- Oct 31 In-Class Exercise Thread
delta list = 89, 12, 11, 10, 8, 15
gamma code 0000001011001 0001100 0001011 0001010 0001000 0001111
Golumb code
M = -log(2-0.03) / log(1-0.03) = -log(1.97) /log(0.97) = - 0.295 / -0.0133 = ceil(22.18) = 23
q(k) = floor(k-1/M), r(k) = (k-1) mod M
k . q(k) . r(k) . Golomb Code 89 3 19 0001 10011 12 . 0 12 1 1011 11 . 0 11 1 1010 10 0 10 1 1001 8 0 8 1 0111 15 0 15 1 1110
(Edited: 2018-11-02)
delta list = 89, 12, 11, 10, 8, 15 gamma code 0000001011001 0001100 0001011 0001010 0001000 0001111 Golumb code M = -log(2-0.03) / log(1-0.03) = -log(1.97) /log(0.97) = - 0.295 / -0.0133 = ceil(22.18) = 23 q(k) = floor(k-1/M), r(k) = (k-1) mod M k . q(k) . r(k) . Golomb Code 89 3 19 0001 10011 12 . 0 12 1 1011 11 . 0 11 1 1010 10 0 10 1 1001 8 0 8 1 0111 15 0 15 1 1110
2018-11-03

-- Oct 31 In-Class Exercise Thread
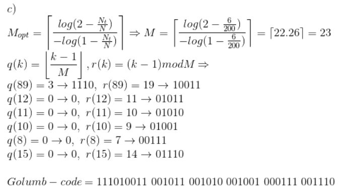
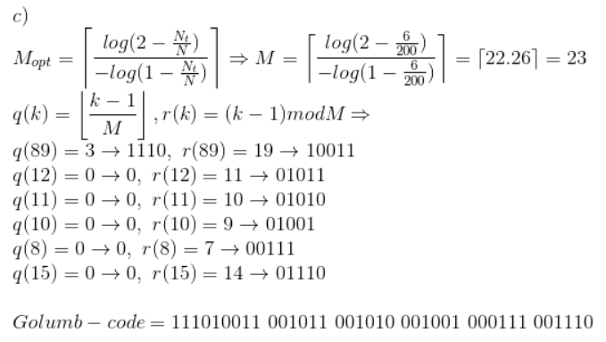
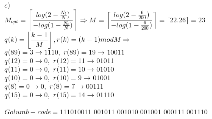
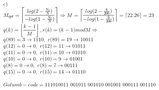
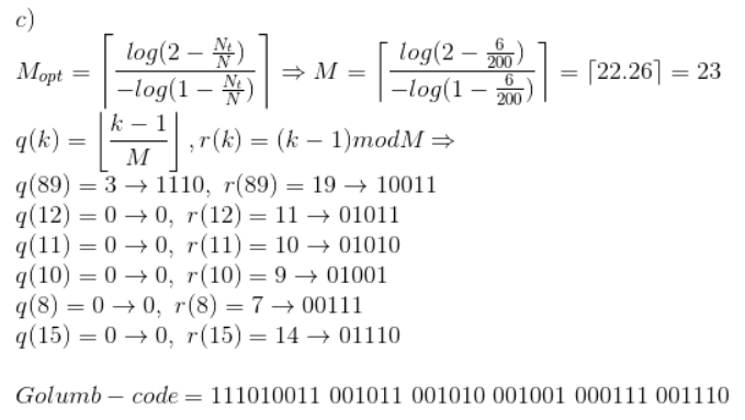
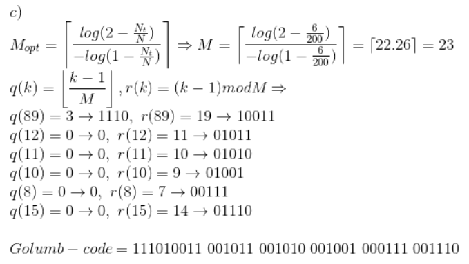
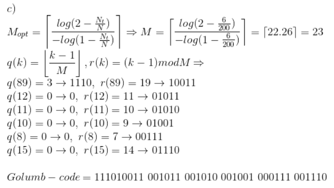
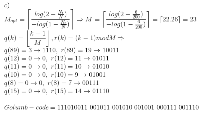
a) Δ-list = [89, 12, 11, 10, 8, 15]
b) γ-code
89	0000001 011001
12	0001 100
11	0001 011
10	0001 1010
8	0001 000
15	0001 111 
 
c) Golomb code
M_opt= `[(log⁔(2- N_t/N))/(-log⁔(1- N_t/N))]= [(log⁔(2- 6/200))/(-log⁔(1- 6/200))]=22.26=23`
q(k)=  `(k-1)/M,r(k)=(k-1)modM`
q(89)= 3,r(89)=19
q(12)= 0,r(12)=12
q(11)= 0,r(11)=11
q(10)= 0,r(10)=10
q(8)= 0,r(8)=8
q(15)= 0,r(15)=15
89	0001 10011 
12	1 1100
11	1 1011
10	1 1010
8	1 1000
15	1 1111 
 
(Edited: 2018-11-03)
<pre> a) Δ-list = [89, 12, 11, 10, 8, 15] b) γ-code 89 0000001 011001 12 0001 100 11 0001 011 10 0001 1010 8 0001 000 15 0001 111 c) Golomb code M_opt= @BT@[(log⁔(2- N_t/N))/(-log⁔(1- N_t/N))]= [(log⁔(2- 6/200))/(-log⁔(1- 6/200))]=22.26=23@BT@ q(k)= @BT@(k-1)/M,r(k)=(k-1)modM@BT@ q(89)= 3,r(89)=19 q(12)= 0,r(12)=12 q(11)= 0,r(11)=11 q(10)= 0,r(10)=10 q(8)= 0,r(8)=8 q(15)= 0,r(15)=15 89 0001 10011 12 1 1100 11 1 1011 10 1 1010 8 1 1000 15 1 1111 </pre>

-- Oct 31 In-Class Exercise Thread
(a) Δ(L) = [89, 12, 11, 10, 8, 15]
(b) [0000001 011001, 0001 100, 0001 011, 0001 010, 0001 000, 0001 111]
(c) M = ceil (log(1.97) / -log(.97)) = 23
q(k) = floor((k-1) / M)
q(89) = 3
q(12) = 0
q(11) = 0
q(10) = 0
q(8) = 0
q(15) = 0 
 
r(k) = (k-1) mod M
r(89) = 19
r(12) = 11
r(11) = 10
r(10) = 9
r(8) = 7
r(15) = 14 
 
Golomb code = q(k+1) in unary followed by r(k) in binary
00001 0011
01 011
01 010
01 001
01 11
01 110
(Edited: 2018-11-03)
<pre> (a) Δ(L) = [89, 12, 11, 10, 8, 15] (b) [0000001 011001, 0001 100, 0001 011, 0001 010, 0001 000, 0001 111] (c) M = ceil (log(1.97) / -log(.97)) = 23 q(k) = floor((k-1) / M) q(89) = 3 q(12) = 0 q(11) = 0 q(10) = 0 q(8) = 0 q(15) = 0 r(k) = (k-1) mod M r(89) = 19 r(12) = 11 r(11) = 10 r(10) = 9 r(8) = 7 r(15) = 14 Golomb code = q(k+1) in unary followed by r(k) in binary 00001 0011 01 011 01 010 01 001 01 11 01 110 </pre>

-- Oct 31 In-Class Exercise Thread
1. Δ-list = [89, 12, 11, 10, 8, 15]
2. γ-code for the above
89 - 0000001011001
12 - 0001100
11 - 0001011
10 - 0001010
8 - 0001000
15 - 0001111
γ-code - 0000001011001 0001100 0001011 0001010 0001000 0001111
Resource Description for CS267.jpeg
Edit -- The Golomb code for the number 89 is 0001 10011
(Edited: 2018-11-05)
1. Δ-list = [89, 12, 11, 10, 8, 15] 2. γ-code for the above 89 - 0000001011001 12 - 0001100 11 - 0001011 10 - 0001010 8 - 0001000 15 - 0001111 γ-code - 0000001011001 0001100 0001011 0001010 0001000 0001111 ((resource:CS267.jpeg|Resource Description for CS267.jpeg)) Edit -- The Golomb code for the number 89 is 0001 10011
[ Next ]
X