2019-11-05

Nov 6 In-Class Exercise Thread.

Post your solutions to the Nov 6 In-Class Exercise to this thread.
Best,
Chris
Post your solutions to the Nov 6 In-Class Exercise to this thread. Best, Chris
2019-11-06

-- Nov 6 In-Class Exercise Thread
Resource Description for IMG_20191106_142730.jpg
((resource:IMG_20191106_142730.jpg|Resource Description for IMG_20191106_142730.jpg))

-- Nov 6 In-Class Exercise Thread
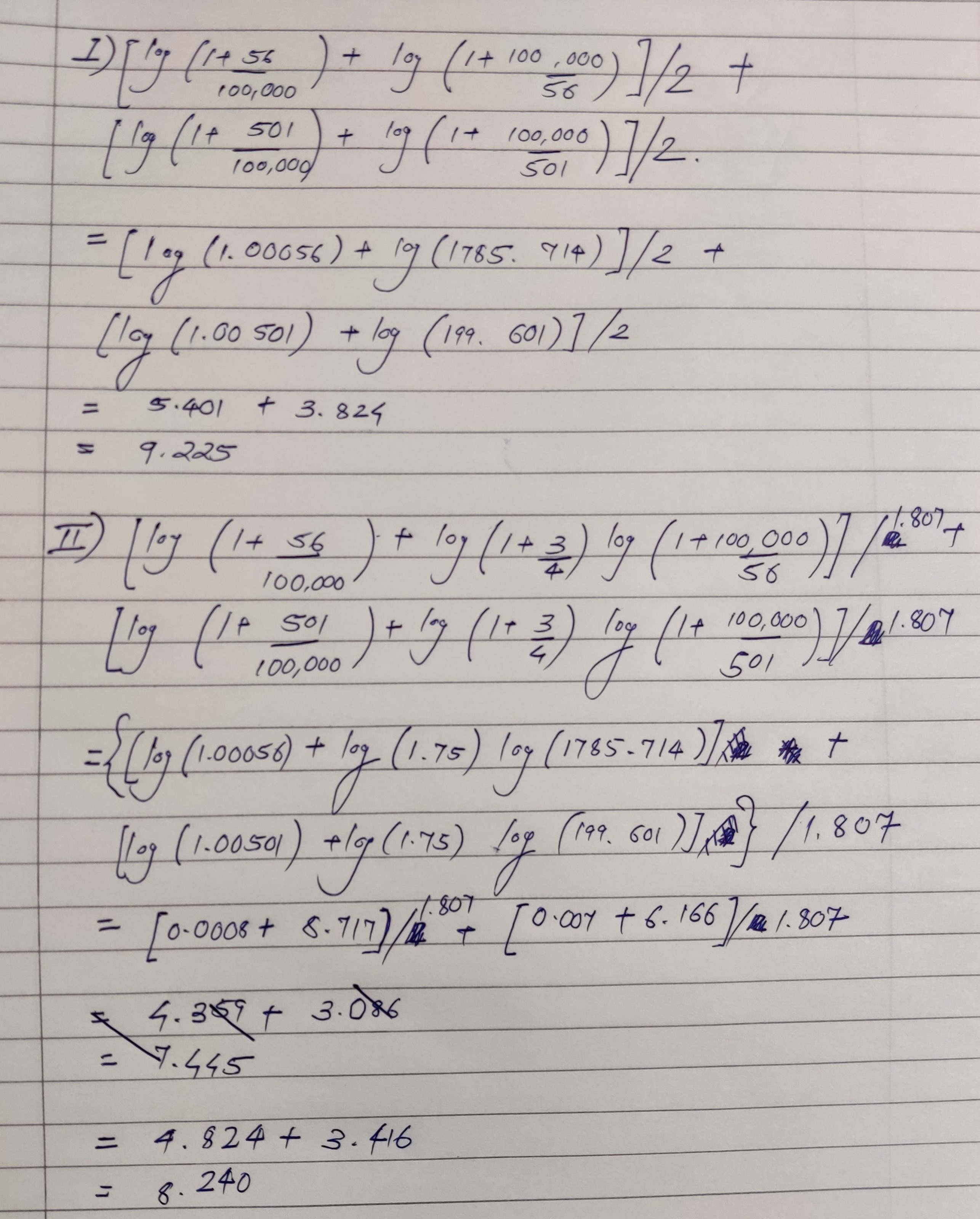
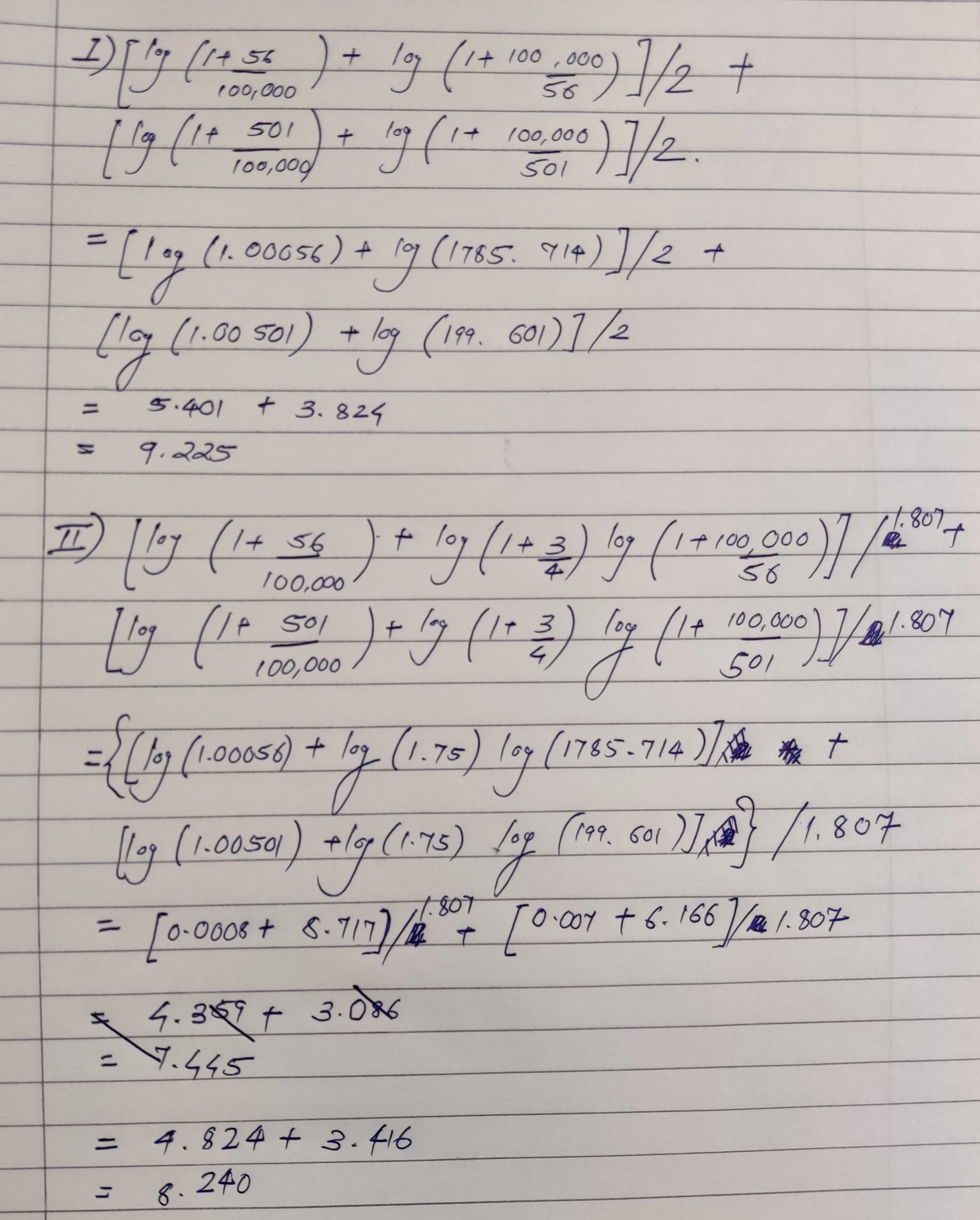
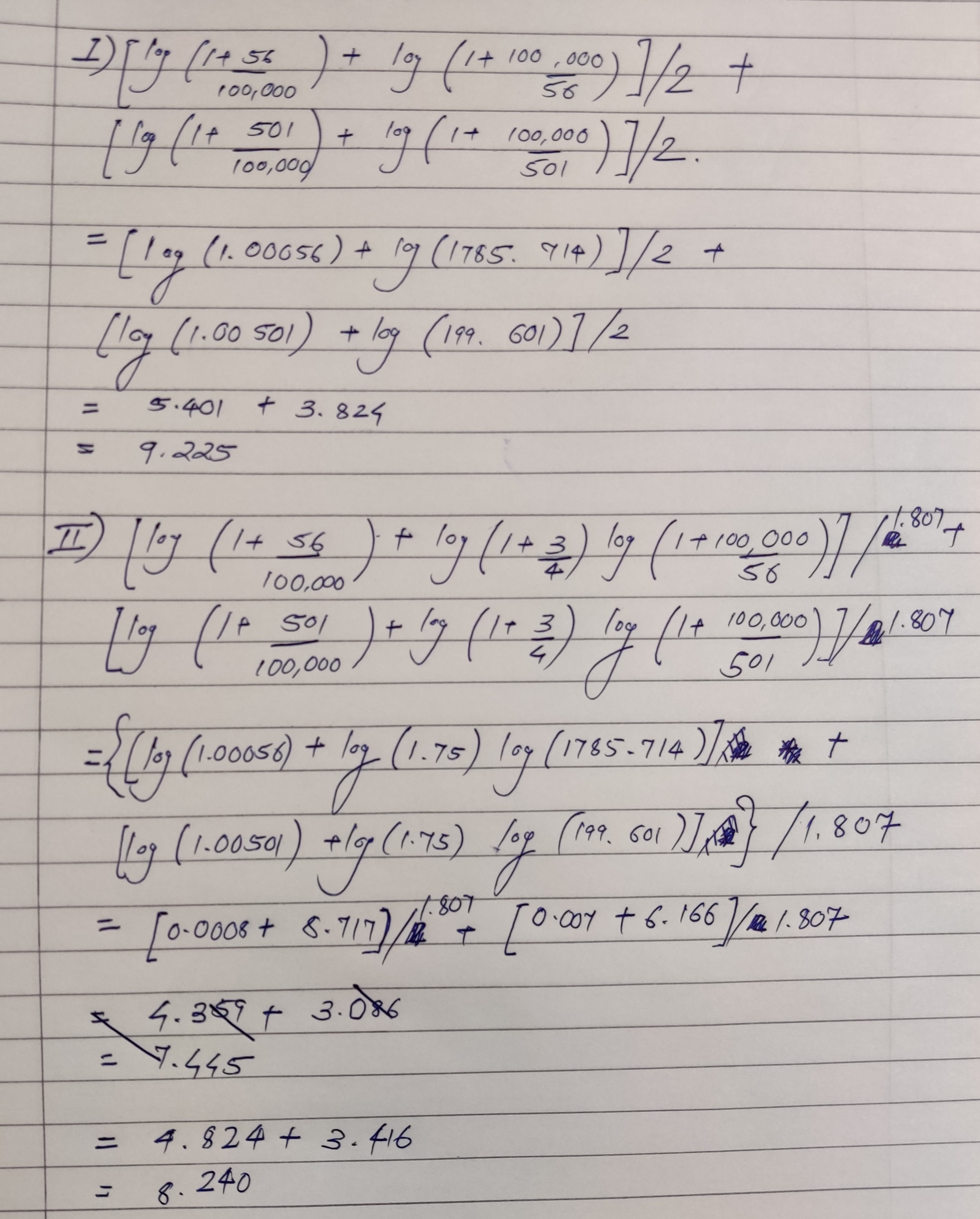
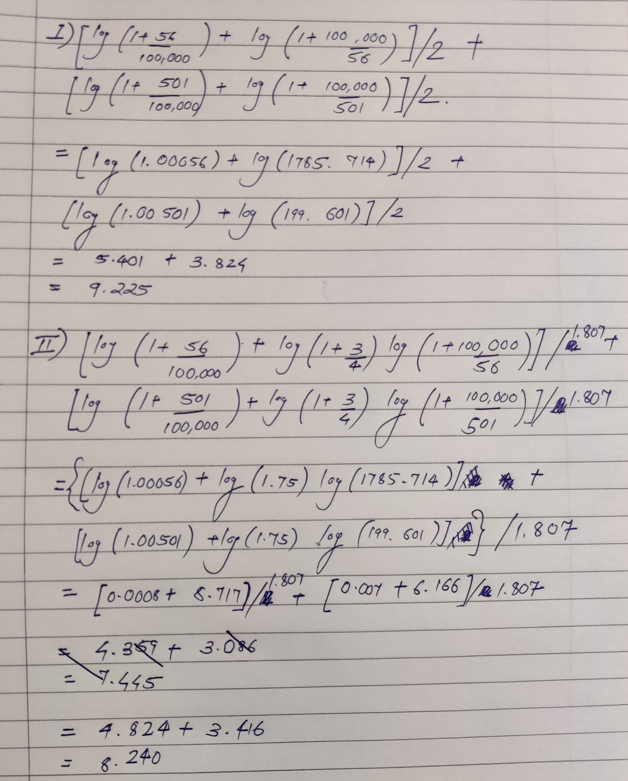
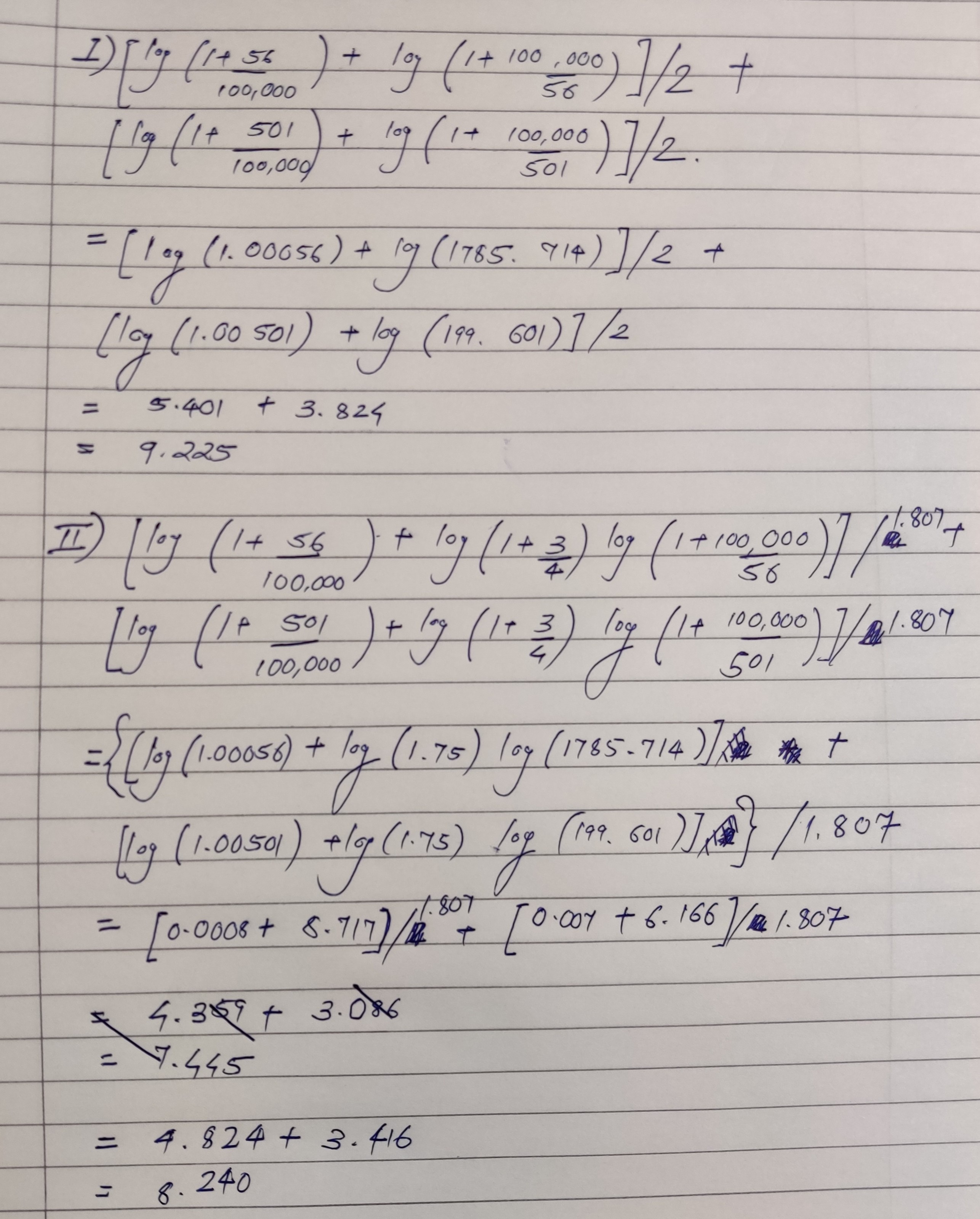
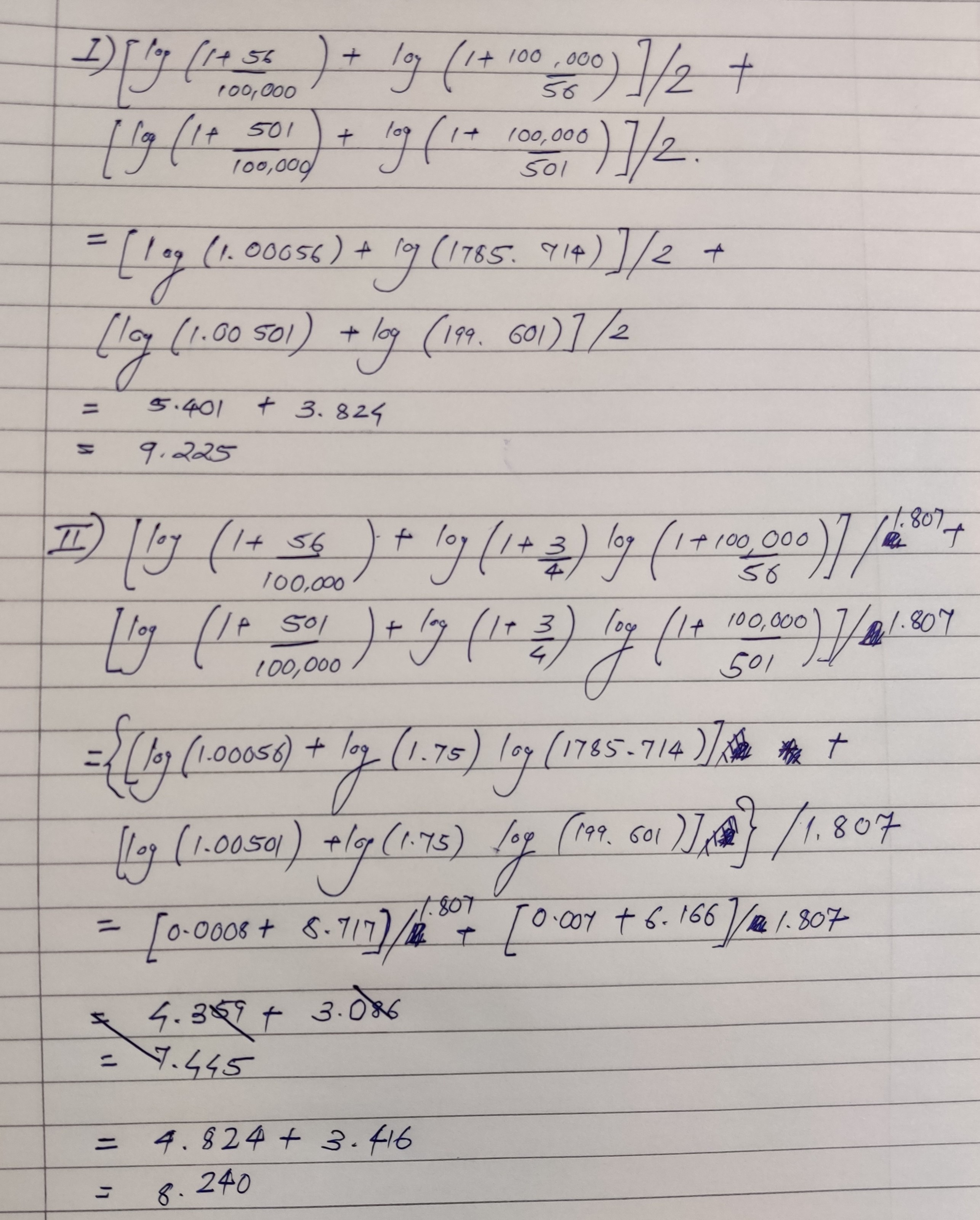
 For document "Popeye's Chicken Sandwich" :-
 f(t,d) = log(1+3/3)= 1
 For term Popeye's, 
 (log(1+56/100000) + log(1+100000/56))/2 = 5.4 approx
  log(1+56/100000) = 0 (approx)
 For term Chicken,
 (log(1+501/100000) + log(1+100000/501))/2 = 3.824 approx
 log(1+501/100000) = 0 (approx)
 DFR of this document = 9.224
 For document "Popeye's Chicken Sandwich Deal" :-
 f(t,d) = log(1+3/4)= 0.8
 For term Popeye's, 
 (log(1+56/100000) + 0.8*log(1+100000/56))/1.8 = 4.8 approx
  log(1+56/100000) = 0 (approx)
  
 For term Chicken,
 (log(1+501/100000) + 0.8*log(1+100000/501))/1.8 = 3.399 approx
  log(1+501/100000) = 0 (approx)
 DFR of this document = 8.19 approx
  
For document "Popeye's Chicken Sandwich" :- f(t,d) = log(1+3/3)= 1 For term Popeye's, (log(1+56/100000) + log(1+100000/56))/2 = 5.4 approx log(1+56/100000) = 0 (approx) For term Chicken, (log(1+501/100000) + log(1+100000/501))/2 = 3.824 approx log(1+501/100000) = 0 (approx) DFR of this document = 9.224 For document "Popeye's Chicken Sandwich Deal" :- f(t,d) = log(1+3/4)= 0.8 For term Popeye's, (log(1+56/100000) + 0.8*log(1+100000/56))/1.8 = 4.8 approx log(1+56/100000) = 0 (approx) For term Chicken, (log(1+501/100000) + 0.8*log(1+100000/501))/1.8 = 3.399 approx log(1+501/100000) = 0 (approx) DFR of this document = 8.19 approx

-- Nov 6 In-Class Exercise Thread
Resource Description for page1.jpg Resource Description for page2.jpg
((resource:page1.jpg|Resource Description for page1.jpg)) ((resource:page2.jpg|Resource Description for page2.jpg))

-- Nov 6 In-Class Exercise Thread
Resource Description for IMG_7009.JPG Resource Description for IMG_7010.JPG Resource Description for IMG_7011.JPG
(Edited: 2019-11-06)
((resource:IMG_7009.JPG|Resource Description for IMG_7009.JPG)) ((resource:IMG_7010.JPG|Resource Description for IMG_7010.JPG)) ((resource:IMG_7011.JPG|Resource Description for IMG_7011.JPG))

-- Nov 6 In-Class Exercise Thread
Resource Description for IMG_20191106_143449_resized_20191106_023528241.jpg
((resource:IMG_20191106_143449_resized_20191106_023528241.jpg|Resource Description for IMG_20191106_143449_resized_20191106_023528241.jpg))

-- Nov 6 In-Class Exercise Thread
Resource Description for 79D076AC-57C9-4C2B-9068-FADBD488E1A4.jpeg
(Edited: 2019-11-06)
((resource:79D076AC-57C9-4C2B-9068-FADBD488E1A4.jpeg|Resource Description for 79D076AC-57C9-4C2B-9068-FADBD488E1A4.jpeg))

-- Nov 6 In-Class Exercise Thread
Resource Description for nov6-1.jpg Resource Description for nov6-2.jpg
(Edited: 2019-11-06)
((resource:nov6-1.jpg|Resource Description for nov6-1.jpg)) ((resource:nov6-2.jpg|Resource Description for nov6-2.jpg))
2019-11-07

-- Nov 6 In-Class Exercise Thread
Resource Description for 1.jpeg
((resource:1.jpeg|Resource Description for 1.jpeg))
2019-11-09

-- Nov 6 In-Class Exercise Thread
Docs first - Popeye's Chicken Sandwich = log(1+56/10^5)/2 + log(1+10^5/56)/2 + log(1+501/10^5)/2 + log(1+10^5/501)/2=[0.00081+10.8+0.0072+7.65]/2= 9.23
second - Popeye's Chicken Sandwich Deal = log( 1 + 56/10^5) + log(1.75)log(1+10^5/56) / (1+log(1.75)) + log( 1 + 501/10^5) + log(1.75)log(1+10^5/501) / (1+log(1.75)) = 4.82+3.4 = 8.22
(Edited: 2019-11-09)
Docs first - Popeye's Chicken Sandwich = log(1+56/10^5)/2 + log(1+10^5/56)/2 + log(1+501/10^5)/2 + log(1+10^5/501)/2=[0.00081+10.8+0.0072+7.65]/2= 9.23 second - Popeye's Chicken Sandwich Deal = log( 1 + 56/10^5) + log(1.75)log(1+10^5/56) / (1+log(1.75)) + log( 1 + 501/10^5) + log(1.75)log(1+10^5/501) / (1+log(1.75)) = 4.82+3.4 = 8.22
[ Next ]
X