2018-11-06

Nov 7 In-Class Exercise .

Post your solutions to the Nov 7 In-Class Exercise tot this thread.
Best,
Chris
Post your solutions to the Nov 7 In-Class Exercise tot this thread. Best, Chris
2018-11-07

-- Nov 7 In-Class Exercise
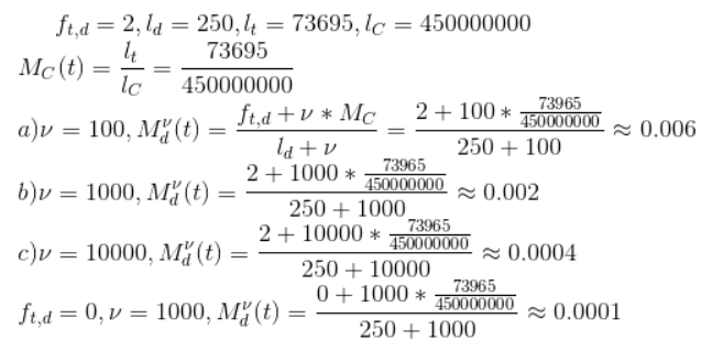
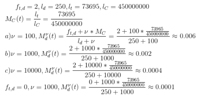
len(d) = 250, ftd = 2, number of times star appears in the corpus = 73695, words in corpus = 450000000, Mct = 73695/450000000 = 0.00016,
Mμd(t) = 2 + μ (0.00016)/250+μ,
  1. μ=100, 2.016/350 = 0.006
  2. μ=1000, 2.16/1250 = 0.0018
  3. μ=10000, 3.6/10250 = 0.00034
ftd = 0, 4.) Mμd(t) = 0.16/1250 = 0.00013
(Edited: 2018-11-07)
len(d) = 250, ftd = 2, number of times star appears in the corpus = 73695, words in corpus = 450000000, Mct = 73695/450000000 = 0.00016, Mμd(t) = 2 + μ (0.00016)/250+μ, # μ=100, 2.016/350 = 0.006 # μ=1000, 2.16/1250 = 0.0018 # μ=10000, 3.6/10250 = 0.00034 ftd = 0, 4.) Mμd(t) = 0.16/1250 = 0.00013

-- Nov 7 In-Class Exercise
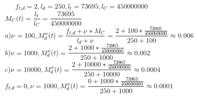
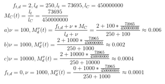
 when u = 100, M_u_d (t) =  (2 + 100 * ( 73695/450000000) ) / (250 + 100) =  0.005
when u = 1000, M_u_d (t) = (2 + 1000 * ( 73695/450000000) ) / (250 + 1000) = 0.0017 when u = 10000, M_u_d (t) = (2 + 10000* ( 73695/450000000) ) / (250 + 10000) = 0.00035
if star does not appear in d, u = 1000, M_u_d = (1000 * ( 73695/450000000) ) / (250 + 1000) = 0.00013
(Edited: 2018-11-07)
when u = 100, M_u_d (t) = (2 + 100 * ( 73695/450000000) ) / (250 + 100) = 0.005 when u = 1000, M_u_d (t) = (2 + 1000 * ( 73695/450000000) ) / (250 + 1000) = 0.0017 when u = 10000, M_u_d (t) = (2 + 10000* ( 73695/450000000) ) / (250 + 10000) = 0.00035 if star does not appear in d, u = 1000, M_u_d = (1000 * ( 73695/450000000) ) / (250 + 1000) = 0.00013

-- Nov 7 In-Class Exercise
`M_d^(\mu) (t) = (2 + (73695/450000000) * \mu) / (250 + \mu)`
`\mu = 100, M_d^(\mu) (t) = 0.5761%`
`\mu = 1000, M_d^(\mu) (t) = 0.1731%`
`\mu = 10000, M_d^(\mu) (t) = 0.0355%`
Where star does not appear in `d` and `\mu = 1000`:
`M_d^(\mu) (t) = 0.0131%`
(Edited: 2018-11-07)
@BT@M_d^(\mu) (t) = (2 + (73695/450000000) * \mu) / (250 + \mu)@BT@ @BT@\mu = 100, M_d^(\mu) (t) = 0.5761%@BT@ @BT@\mu = 1000, M_d^(\mu) (t) = 0.1731%@BT@ @BT@\mu = 10000, M_d^(\mu) (t) = 0.0355%@BT@ Where star does not appear in @BT@d@BT@ and @BT@\mu = 1000@BT@: @BT@M_d^(\mu) (t) = 0.0131%@BT@

-- Nov 7 In-Class Exercise
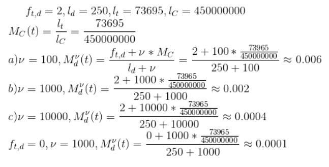
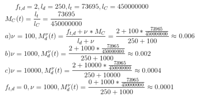
a)`M_d^mu(t)` = (2 + 100(73695 / 450000000)) / (250+100) = 0.0058
b)`M_d^mu(t)` = (2 + 1000(73695 / 450000000)) / (250+1000) = 0.0017
c)`M_d^mu(t)` = (2 + 10000(73695 / 450000000)) / (250+10000) = 0.0004
d)`M_d^mu(t)` = (0 + 1000(73695 / 450000000)) / (250+1000) = 0.0001
(Edited: 2018-11-07)
a)@BT@M_d^mu(t)@BT@ = (2 + 100(73695 / 450000000)) / (250+100) = 0.0058 b)@BT@M_d^mu(t)@BT@ = (2 + 1000(73695 / 450000000)) / (250+1000) = 0.0017 c)@BT@M_d^mu(t)@BT@ = (2 + 10000(73695 / 450000000)) / (250+10000) = 0.0004 d)@BT@M_d^mu(t)@BT@ = (0 + 1000(73695 / 450000000)) / (250+1000) = 0.0001

-- Nov 7 In-Class Exercise
1. `mu`= 100
`M_d^100(mbox{star}) = 2+(100*0.00016)/350 = 2.016/350 = 0.005761`
2. `mu`= 1000
`M_d^1000(mbox{star}) = 2+(1000*0.00016)/1250 = 2.1637/1250 = 0.0017`
3. `mu`= 10000
`M_d^10000(mbox{star}) = 2+(10000*0.00016)/10250 = 3.6/10250 = 0.00035`
If star doesn't appear in d
`M_d^1000(mbox{star}) = 0+(1000*0.00016)/1248 = 0.000128`
(Edited: 2018-11-07)
1. @BT@mu@BT@= 100 @BT@M_d^100(mbox{star}) = 2+(100*0.00016)/350 = 2.016/350 = 0.005761@BT@ 2. @BT@mu@BT@= 1000 @BT@M_d^1000(mbox{star}) = 2+(1000*0.00016)/1250 = 2.1637/1250 = 0.0017@BT@ 3. @BT@mu@BT@= 10000 @BT@M_d^10000(mbox{star}) = 2+(10000*0.00016)/10250 = 3.6/10250 = 0.00035@BT@ If star doesn't appear in d @BT@M_d^1000(mbox{star}) = 0+(1000*0.00016)/1248 = 0.000128@BT@

-- Nov 7 In-Class Exercise
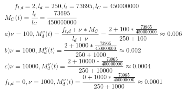
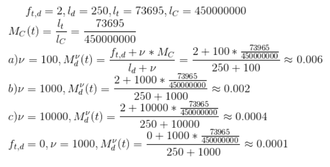
`M_C("star") = l_t/l_C`
`M_C("star") = 73695 / 450000000`
`M_C("star") = 0.000163767`
(a) `mu = 100`
  1. `M_d^100("star") = (2 + (100 * 0.000163767))/(250 + 100)`
  2. `M_d^100("star") = 0.005761076`
(b) `mu = 1000`
  1. `M_d^1000("star") = (2 + (1000 * 0.000163767))/(250 + 1000)`
  2. `M_d^1000("star") = 0.001731014`
(c) `mu = 10000`
  1. `M_d^10000("star") = (2 + (10000 * 0.000163767))/(250 + 10000)`
  2. `M_d^10000("star") = 0.000354895`
(d) `mu = 1000 and f_(t,d) = 0`
  1. `M_d^1000("star") = (0 + (1000 * 0.000163767))/(250 + 1000)`
  2. `M_d^1000("star") = 0.000131014`
(Edited: 2018-11-07)
@BT@M_C("star") = l_t/l_C@BT@ @BT@M_C("star") = 73695 / 450000000@BT@ @BT@M_C("star") = 0.000163767@BT@ (a) @BT@mu = 100@BT@ #@BT@M_d^100("star") = (2 + (100 * 0.000163767))/(250 + 100)@BT@ #@BT@M_d^100("star") = 0.005761076@BT@ (b) @BT@mu = 1000@BT@ #@BT@M_d^1000("star") = (2 + (1000 * 0.000163767))/(250 + 1000)@BT@ #@BT@M_d^1000("star") = 0.001731014@BT@ (c) @BT@mu = 10000@BT@ #@BT@M_d^10000("star") = (2 + (10000 * 0.000163767))/(250 + 10000)@BT@ #@BT@M_d^10000("star") = 0.000354895@BT@ (d) @BT@mu = 1000 and f_(t,d) = 0@BT@ #@BT@M_d^1000("star") = (0 + (1000 * 0.000163767))/(250 + 1000)@BT@ #@BT@M_d^1000("star") = 0.000131014@BT@

-- Nov 7 In-Class Exercise
Resource Description for Screen Shot 2018-11-07 at 3.43.02 PM.png
((resource:Screen Shot 2018-11-07 at 3.43.02 PM.png|Resource Description for Screen Shot 2018-11-07 at 3.43.02 PM.png))

-- Nov 7 In-Class Exercise
1. 
a) μ = 100; = (f + μ⋅MC(t))/ (ld+μ) = (2+100.(73695/450*10^6))/(250+100) = 2.0164/350 = 0.00576	
b) mu = 1000 => (2+(73695/450*10^3))/250+1000 = 2.1637/1250 = 0.00173	
c) mu= 10000 =>  (2+(73695/450*10^2))/250+10000 = 3.637/10250 = 0.00035	 
 
2. without 'star'
0+(73695/450*10^3)/250+1000 => 0.0164/1250 = 0.000013	 
 
(Edited: 2018-11-12)
<pre> 1. a) μ = 100; = (f + μ⋅MC(t))/ (ld+μ) = (2+100.(73695/450*10^6))/(250+100) = 2.0164/350 = '''0.00576''' b) mu = 1000 => (2+(73695/450*10^3))/250+1000 = 2.1637/1250 =''' 0.00173''' c) mu= 10000 => (2+(73695/450*10^2))/250+10000 = 3.637/10250 = '''0.00035''' 2. without 'star' 0+(73695/450*10^3)/250+1000 => 0.0164/1250 = '''0.000013''' </pre>

-- Nov 7 In-Class Exercise
Resource Description for 117.png
((resource:117.png|Resource Description for 117.png))
[ Next ]
X